Overview

[1] [2] [3]

Back        Forward

Overview

[1] [2] [3]

Back        Forward

Overview

[1] [2] [3]

Back        Forward

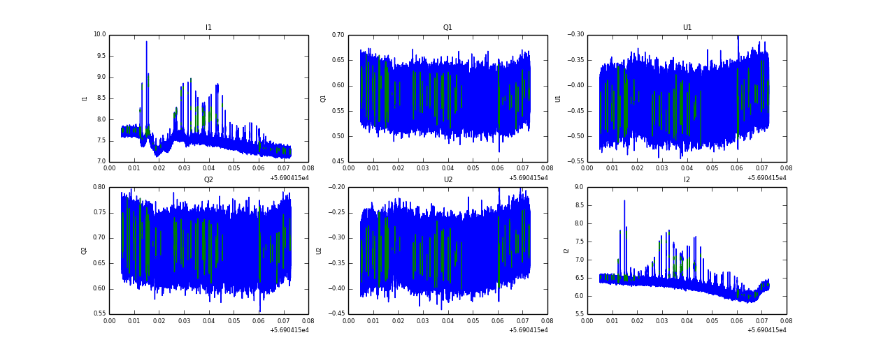
Raw fits file and map fits file

04-Sep-2014:03:39:30_reload.fits

04-Sep-2014:03:39:30_reload_map.fits


Raw channel data