Overview

[1] [2] [3]

Back        Forward

Overview

[1] [2] [3]

Back        Forward

Overview

[1] [2] [3]

Back        Forward

Raw fits file and map fits file

04-Sep-2014:17:03:33_reload.fits

04-Sep-2014:17:03:33_reload_map.fits


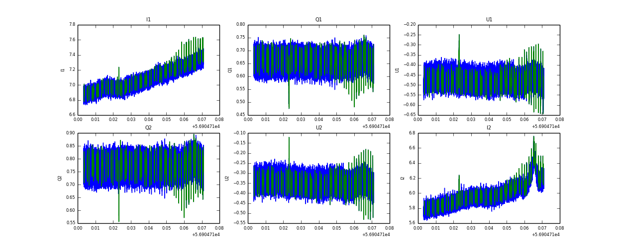
Raw channel data