Overview

[1] [2] [3]

Back        Forward

Overview

[1] [2] [3]

Back        Forward

Overview

[1] [2] [3]

Back        Forward

Raw fits file and map fits file

11-Sep-2014:07:58:46_reload.fits

11-Sep-2014:07:58:46_reload_map.fits


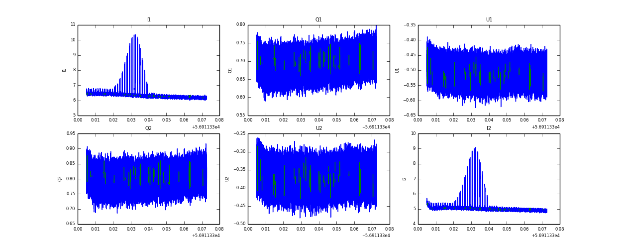
Raw channel data