Overview

[1] [2] [3]

Back        Forward

Overview

[1] [2] [3]

Back        Forward

Overview

[1] [2] [3]

Back        Forward

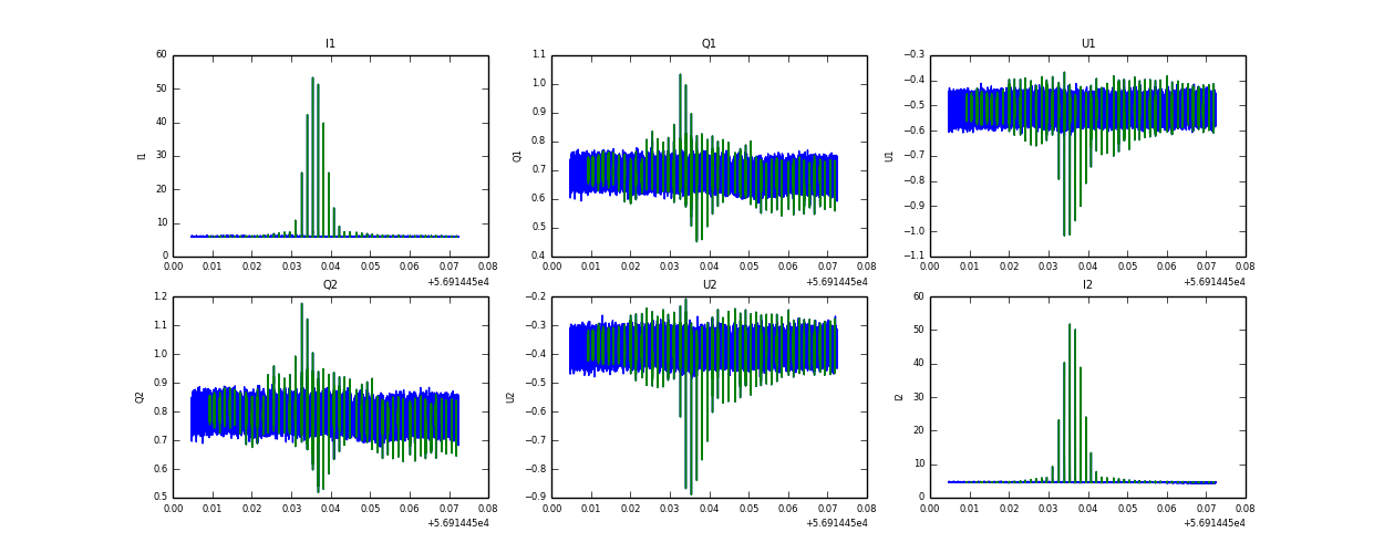
Raw fits file and map fits file

14-Sep-2014:10:51:11_reload.fits

14-Sep-2014:10:51:11_reload_map.fits


Raw channel data