Overview

[1] [2] [3]

Back        Forward

Overview

[1] [2] [3]

Back        Forward

Overview

[1] [2] [3]

Back        Forward

Raw fits file and map fits file

18-Sep-2014:13:56:17_reload.fits

18-Sep-2014:13:56:17_reload_map.fits


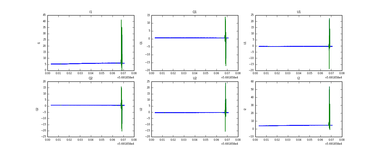
Raw channel data