Overview

[1] [2] [3]

Back        Forward

Overview

[1] [2] [3]

Back        Forward

Overview

[1] [2] [3]

Back        Forward

Raw fits file and map fits file

21-Sep-2014:20:17:02_reload.fits

21-Sep-2014:20:17:02_reload_map.fits


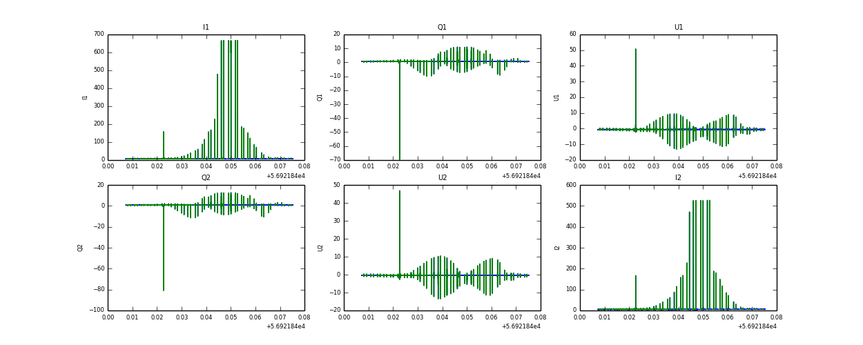
Raw channel data