Overview

[1] [2] [3]

Back        Forward

Overview

[1] [2] [3]

Back        Forward

Overview

[1] [2] [3]

Back        Forward

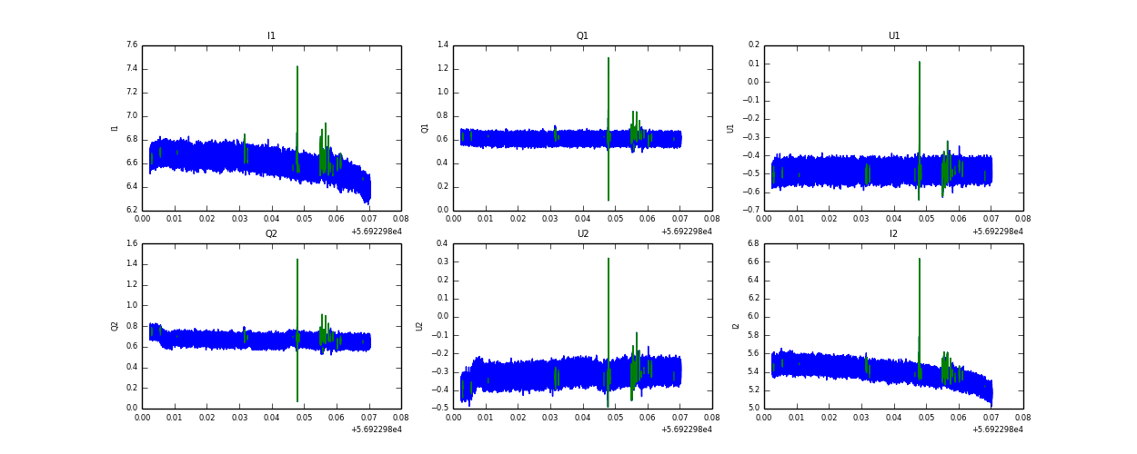
Raw fits file and map fits file

22-Sep-2014:23:31:05_reload.fits

22-Sep-2014:23:31:05_reload_map.fits


Raw channel data