Overview

[1] [2] [3]

Back        Forward

Overview

[1] [2] [3]

Back        Forward

Overview

[1] [2] [3]

Back        Forward

Raw fits file and map fits file

29-Sep-2014:06:46:54_reload.fits

29-Sep-2014:06:46:54_reload_map.fits


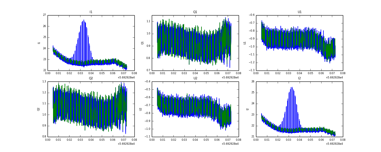
Raw channel data