Overview

[1] [2] [3]

Back        Forward

Overview

[1] [2] [3]

Back        Forward

Overview

[1] [2] [3]

Back        Forward

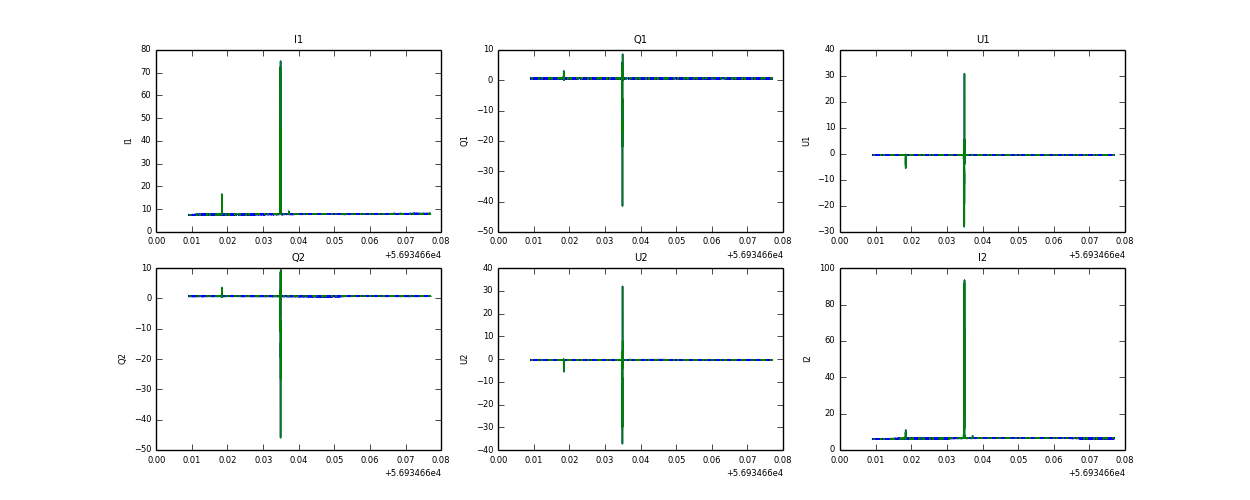
Raw fits file and map fits file

04-Oct-2014:15:59:53_reload.fits

04-Oct-2014:15:59:53_reload_map.fits


Raw channel data