Overview

[1] [2] [3]

Back        Forward

Overview

[1] [2] [3]

Back        Forward

Overview

[1] [2] [3]

Back        Forward

Raw fits file and map fits file

06-Oct-2014:14:45:36_reload.fits

06-Oct-2014:14:45:36_reload_map.fits


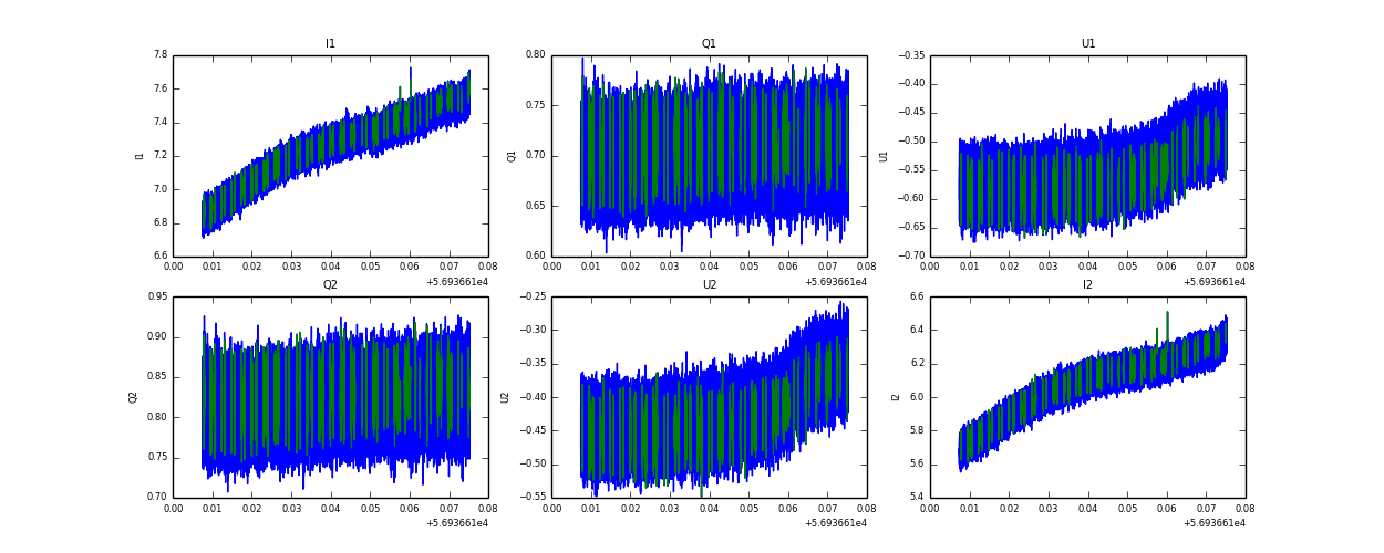
Raw channel data