Overview

[1] [2] [3]

Back        Forward

Overview

[1] [2] [3]

Back        Forward

Overview

[1] [2] [3]

Back        Forward

Raw fits file and map fits file

07-Oct-2014:15:53:52_reload.fits

07-Oct-2014:15:53:52_reload_map.fits


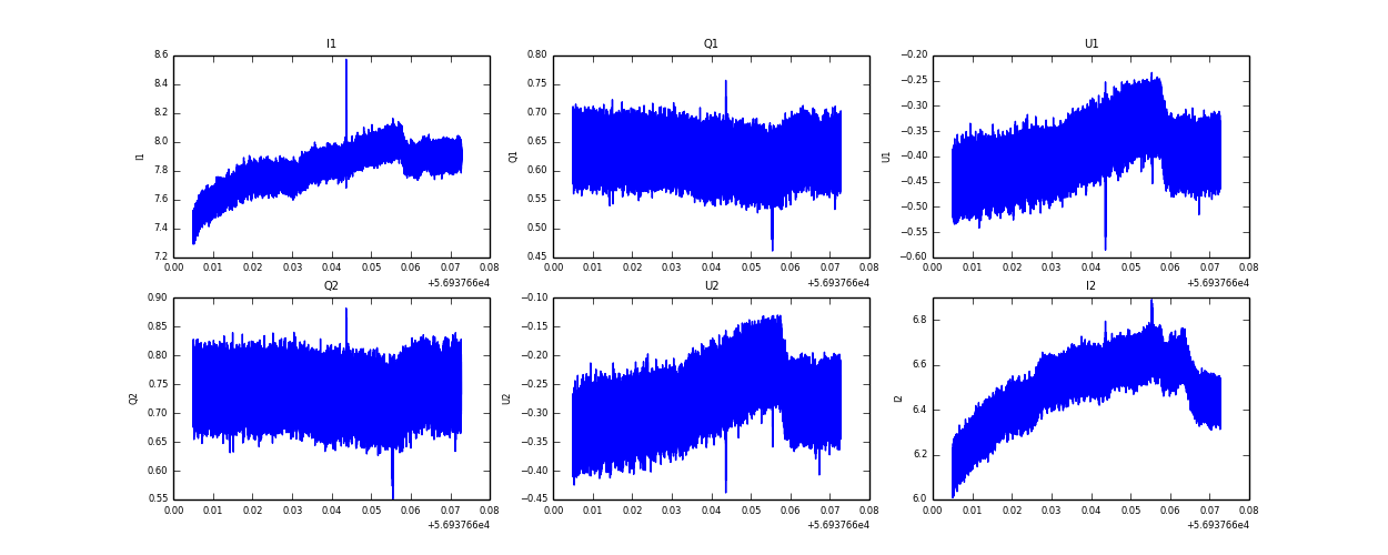
Raw channel data