Overview

[1] [2] [3]

Back        Forward

Overview

[1] [2] [3]

Back        Forward

Overview

[1] [2] [3]

Back        Forward

Raw fits file and map fits file

09-Oct-2014:17:53:53_reload.fits

09-Oct-2014:17:53:53_reload_map.fits


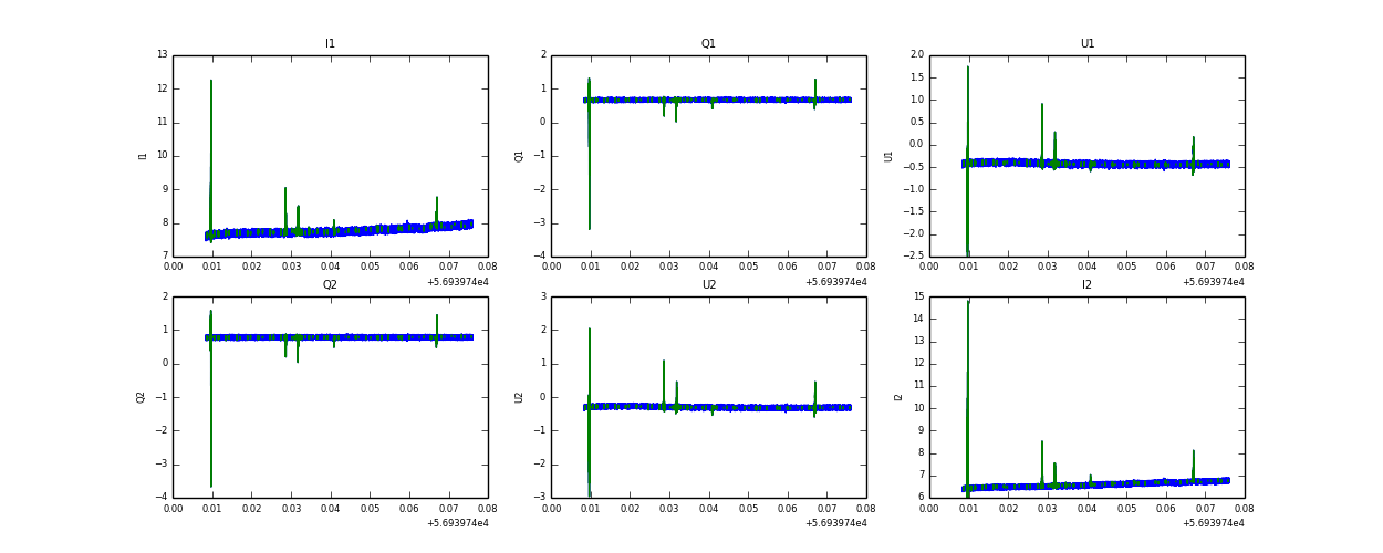
Raw channel data