Overview

[1] [2] [3]

Back        Forward

Overview

[1] [2] [3]

Back        Forward

Overview

[1] [2] [3]

Back        Forward

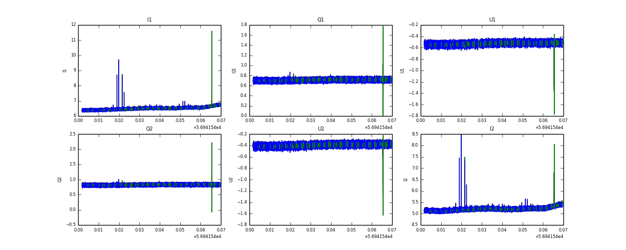
Raw fits file and map fits file

11-Oct-2014:12:56:42_reload.fits

11-Oct-2014:12:56:42_reload_map.fits


Raw channel data