Overview

[1] [2] [3]

Back        Forward

Overview

[1] [2] [3]

Back        Forward

Overview

[1] [2] [3]

Back        Forward

Raw fits file and map fits file

14-Oct-2014:01:51:17_reload.fits

14-Oct-2014:01:51:17_reload_map.fits


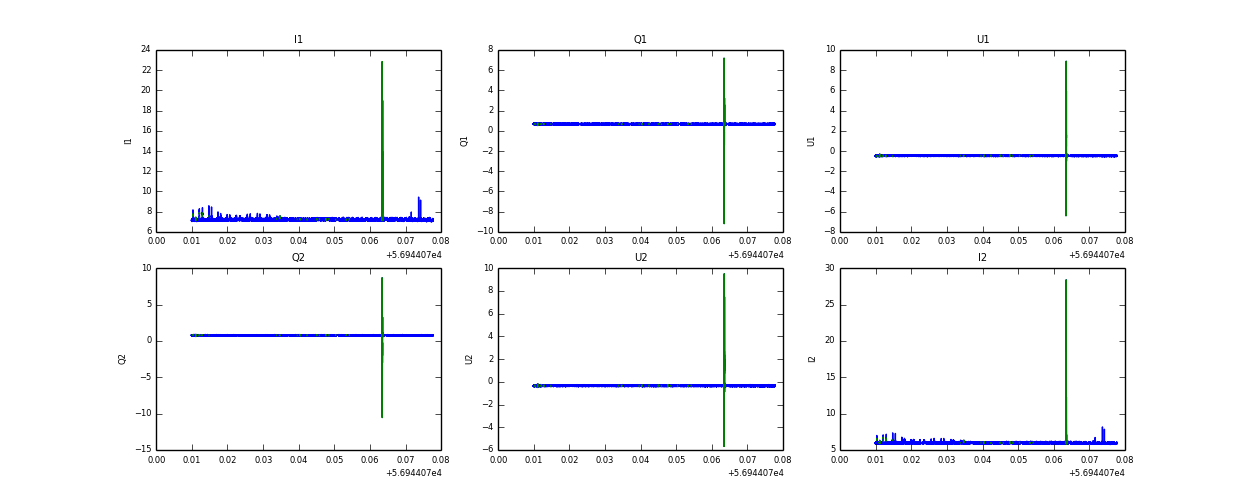
Raw channel data