Overview

[1] [2] [3]

Back        Forward

Overview

[1] [2] [3]

Back        Forward

Overview

[1] [2] [3]

Back        Forward

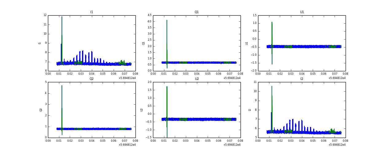
Raw fits file and map fits file

18-Oct-2014:03:00:47_reload.fits

18-Oct-2014:03:00:47_reload_map.fits


Raw channel data