Overview

[1] [2] [3]

Back        Forward

Overview

[1] [2] [3]

Back        Forward

Overview

[1] [2] [3]

Back        Forward

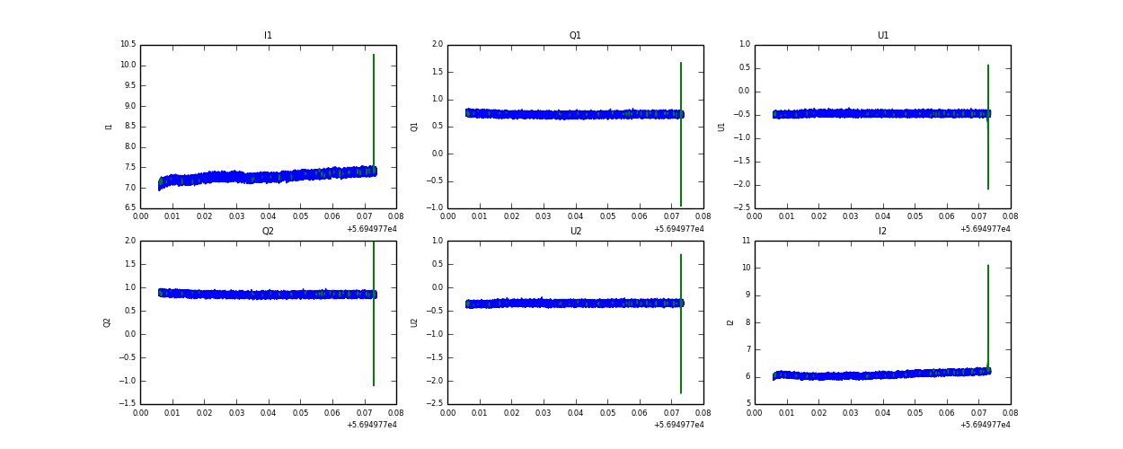
Raw fits file and map fits file

19-Oct-2014:18:33:41_reload.fits

19-Oct-2014:18:33:41_reload_map.fits


Raw channel data