Overview

[1] [2] [3]

Back        Forward

Overview

[1] [2] [3]

Back        Forward

Overview

[1] [2] [3]

Back        Forward

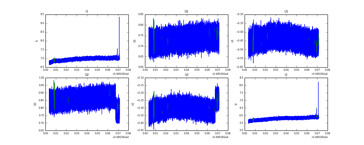
Raw fits file and map fits file

23-Oct-2014:22:06:21_reload.fits

23-Oct-2014:22:06:21_reload_map.fits


Raw channel data