Overview

[1] [2] [3]

Back        Forward

Overview

[1] [2] [3]

Back        Forward

Overview

[1] [2] [3]

Back        Forward

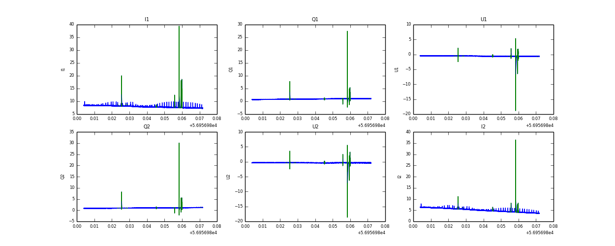
Raw fits file and map fits file

26-Oct-2014:23:33:26_reload.fits

26-Oct-2014:23:33:26_reload_map.fits


Raw channel data