Overview

[1] [2] [3]

Back        Forward

Overview

[1] [2] [3]

Back        Forward

Overview

[1] [2] [3]

Back        Forward

Raw fits file and map fits file

06-Nov-2014:13:47:29_reload.fits

06-Nov-2014:13:47:29_reload_map.fits


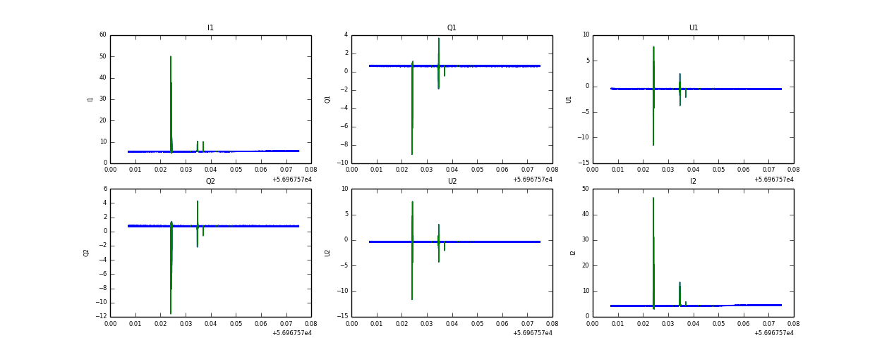
Raw channel data