Overview

[1] [2] [3]

Back        Forward

Overview

[1] [2] [3]

Back        Forward

Overview

[1] [2] [3]

Back        Forward

Raw fits file and map fits file

07-Nov-2014:02:28:09_reload.fits

07-Nov-2014:02:28:09_reload_map.fits


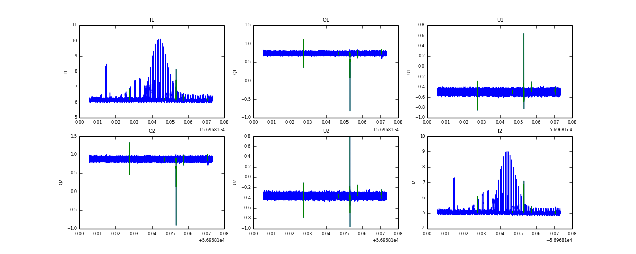
Raw channel data