Overview

[1] [2] [3]

Back        Forward

Overview

[1] [2] [3]

Back        Forward

Overview

[1] [2] [3]

Back        Forward

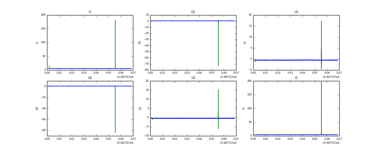
Raw fits file and map fits file

10-Nov-2014:13:38:25_reload.fits

10-Nov-2014:13:38:25_reload_map.fits


Raw channel data