Overview

[1] [2] [3]

Back        Forward

Overview

[1] [2] [3]

Back        Forward

Overview

[1] [2] [3]

Back        Forward

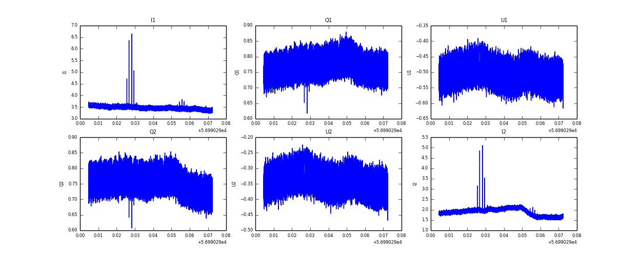
Raw fits file and map fits file

29-Nov-2014:07:00:43_reload.fits

29-Nov-2014:07:00:43_reload_map.fits


Raw channel data