Overview

[1] [2] [3]

Back        Forward

Overview

[1] [2] [3]

Back        Forward

Overview

[1] [2] [3]

Back        Forward

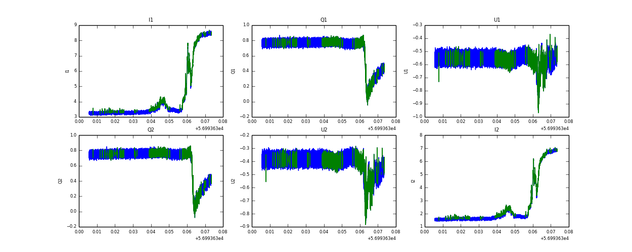
Raw fits file and map fits file

02-Dec-2014:15:11:53_reload.fits

02-Dec-2014:15:11:53_reload_map.fits


Raw channel data