Overview

[1] [2] [3]

Back        Forward

Overview

[1] [2] [3]

Back        Forward

Overview

[1] [2] [3]

Back        Forward

Raw fits file and map fits file

02-Dec-2014:18:45:32_reload.fits

02-Dec-2014:18:45:32_reload_map.fits


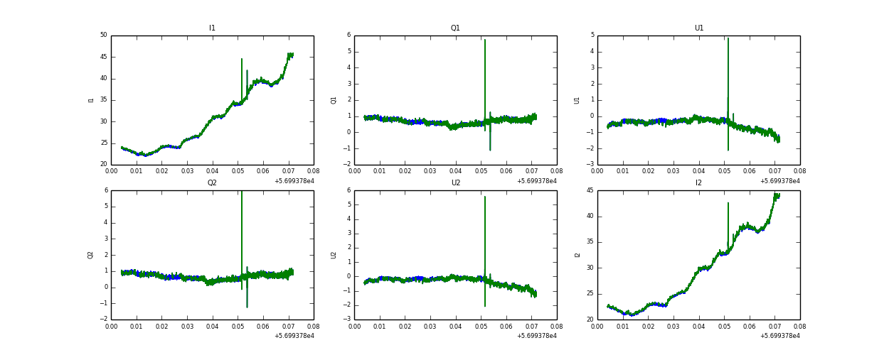
Raw channel data