Overview

[1] [2] [3]

Back        Forward

Overview

[1] [2] [3]

Back        Forward

Overview

[1] [2] [3]

Back        Forward

Raw fits file and map fits file

08-Dec-2014:10:05:07_reload.fits

08-Dec-2014:10:05:07_reload_map.fits


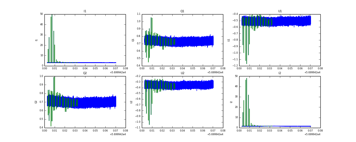
Raw channel data