Overview

[1] [2] [3]

Back        Forward

Overview

[1] [2] [3]

Back        Forward

Overview

[1] [2] [3]

Back        Forward

Raw fits file and map fits file

08-Dec-2014:17:19:33_reload.fits

08-Dec-2014:17:19:33_reload_map.fits


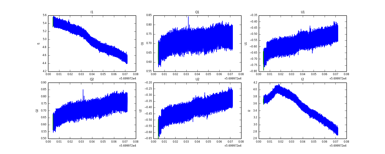
Raw channel data