Overview

[1] [2] [3]

Back        Forward

Overview

[1] [2] [3]

Back        Forward

Overview

[1] [2] [3]

Back        Forward

Raw fits file and map fits file

10-Dec-2014:01:13:20_reload.fits

10-Dec-2014:01:13:20_reload_map.fits


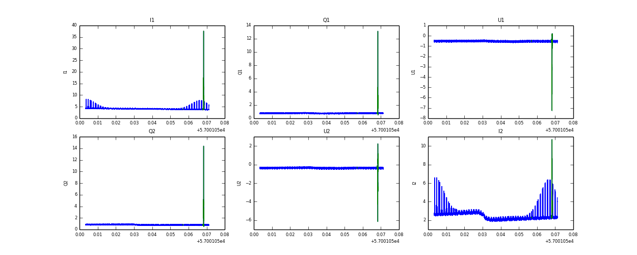
Raw channel data