Overview

[1] [2] [3]

Back        Forward

Overview

[1] [2] [3]

Back        Forward

Overview

[1] [2] [3]

Back        Forward

Raw fits file and map fits file

13-Dec-2014:16:02:16_reload.fits

13-Dec-2014:16:02:16_reload_map.fits


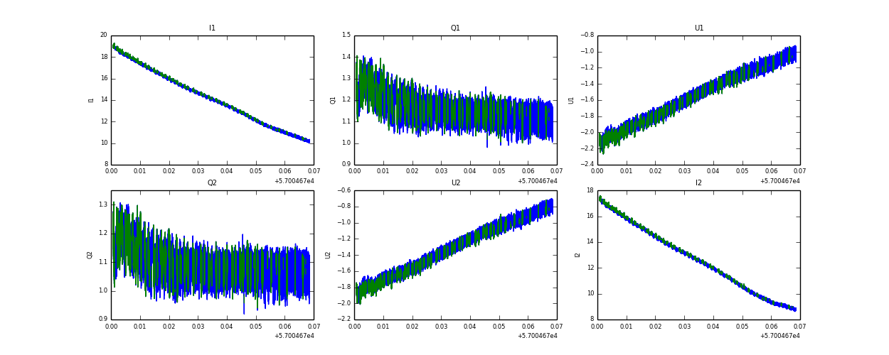
Raw channel data