Overview

[1] [2] [3]

Back        Forward

Overview

[1] [2] [3]

Back        Forward

Overview

[1] [2] [3]

Back        Forward

Raw fits file and map fits file

19-Dec-2014:14:25:31_reload.fits

19-Dec-2014:14:25:31_reload_map.fits


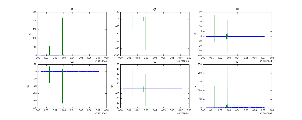
Raw channel data