Overview

[1] [2] [3]

Back        Forward

Overview

[1] [2] [3]

Back        Forward

Overview

[1] [2] [3]

Back        Forward

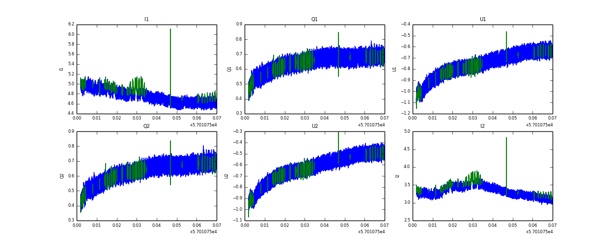
Raw fits file and map fits file

19-Dec-2014:17:59:11_reload.fits

19-Dec-2014:17:59:11_reload_map.fits


Raw channel data