Overview

[1] [2] [3]

Back        Forward

Overview

[1] [2] [3]

Back        Forward

Overview

[1] [2] [3]

Back        Forward

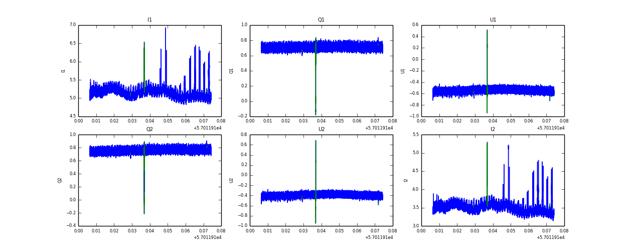
Raw fits file and map fits file

20-Dec-2014:21:55:58_reload.fits

20-Dec-2014:21:55:58_reload_map.fits


Raw channel data