Overview

[1] [2] [3]

Back        Forward

Overview

[1] [2] [3]

Back        Forward

Overview

[1] [2] [3]

Back        Forward

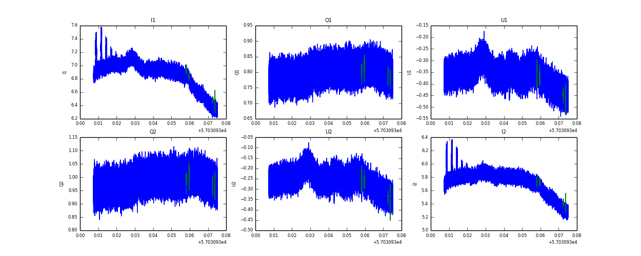
Raw fits file and map fits file

08-Jan-2015:22:26:06_reload.fits

08-Jan-2015:22:26:06_reload_map.fits


Raw channel data