Overview

[1] [2] [3]

Back        Forward

Overview

[1] [2] [3]

Back        Forward

Overview

[1] [2] [3]

Back        Forward

Raw fits file and map fits file

13-Jan-2015:14:45:43_reload.fits

13-Jan-2015:14:45:43_reload_map.fits


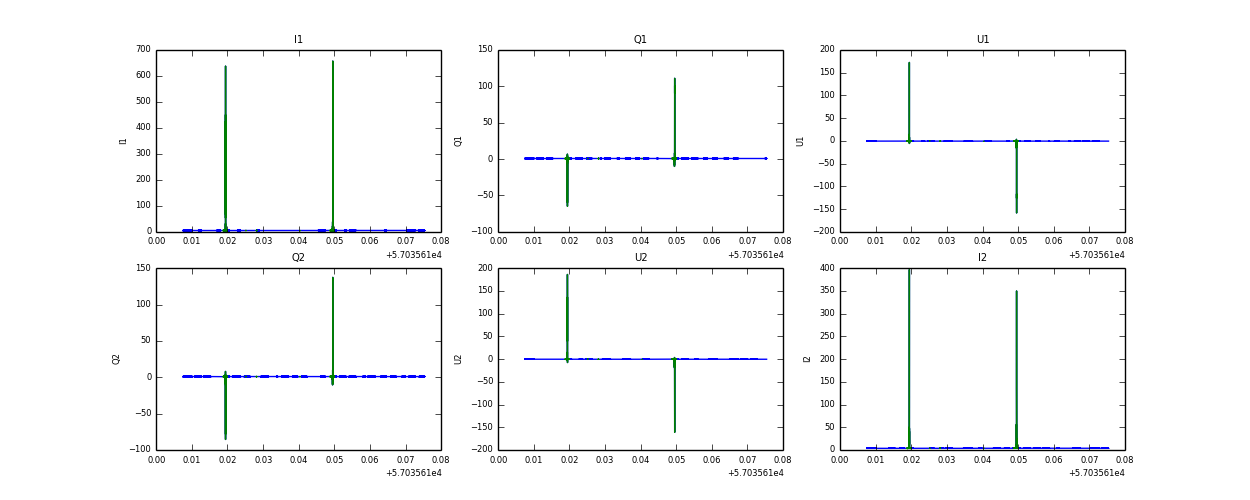
Raw channel data