Overview

[1] [2] [3]

Back        Forward

Overview

[1] [2] [3]

Back        Forward

Overview

[1] [2] [3]

Back        Forward

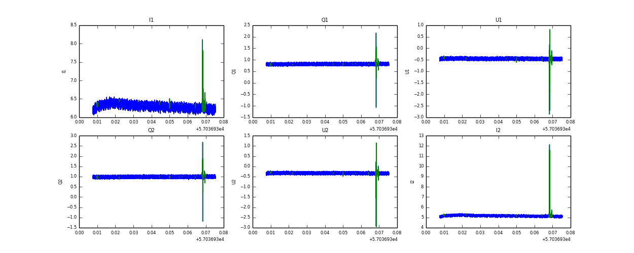
Raw fits file and map fits file

14-Jan-2015:22:26:23_reload.fits

14-Jan-2015:22:26:23_reload_map.fits


Raw channel data