Overview

[1] [2] [3]

Back        Forward

Overview

[1] [2] [3]

Back        Forward

Overview

[1] [2] [3]

Back        Forward

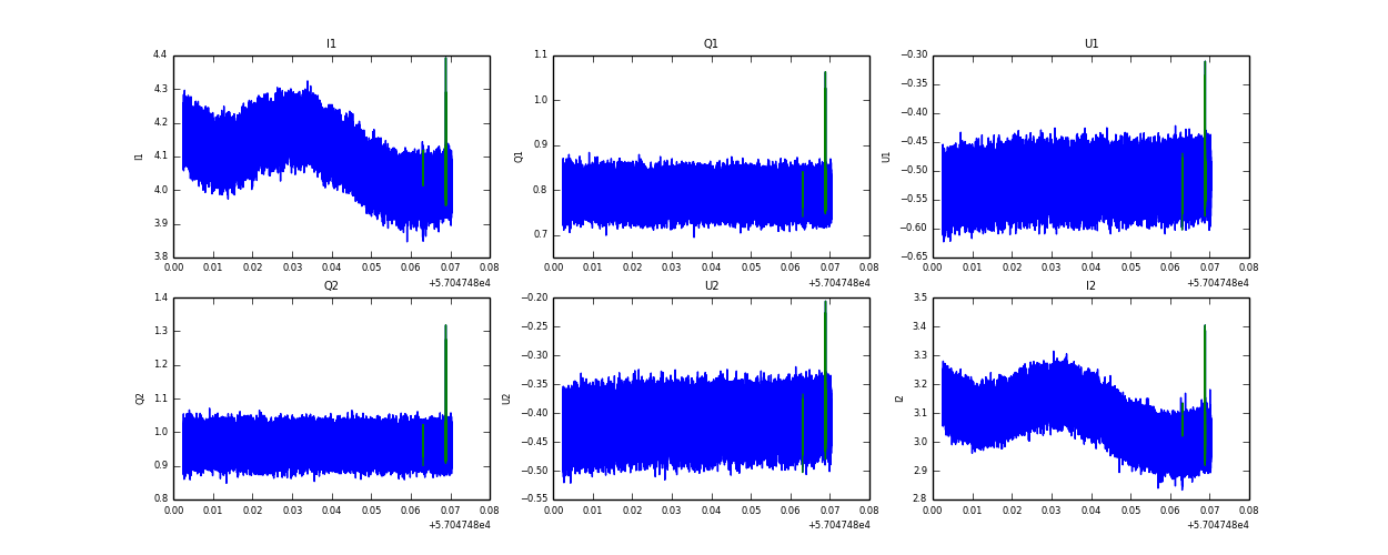
Raw fits file and map fits file

25-Jan-2015:11:31:05_reload.fits

25-Jan-2015:11:31:05_reload_map.fits


Raw channel data