Overview

[1] [2] [3]

Back        Forward

Overview

[1] [2] [3]

Back        Forward

Overview

[1] [2] [3]

Back        Forward

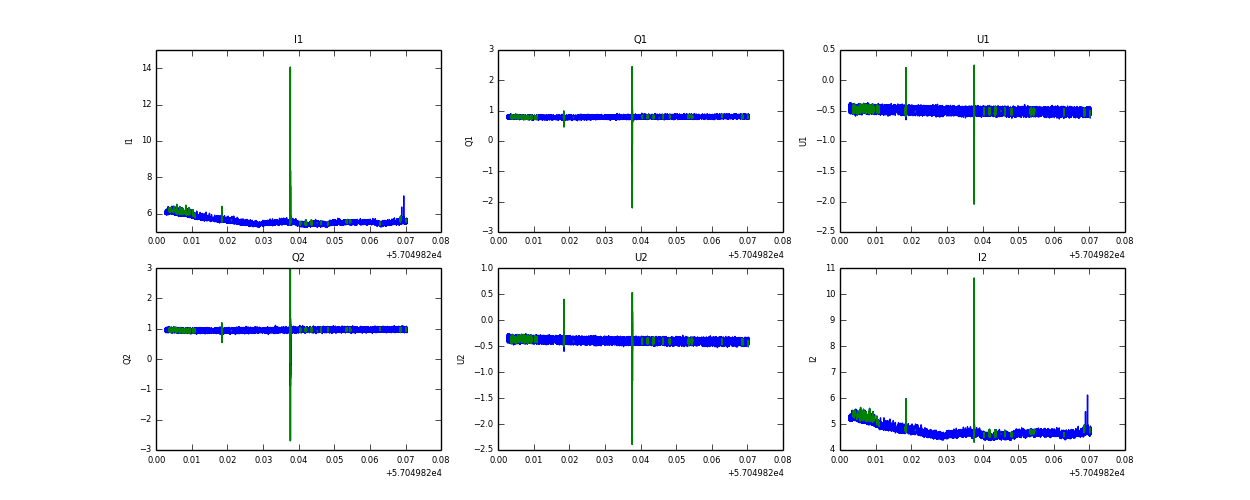
Raw fits file and map fits file

27-Jan-2015:19:40:59_reload.fits

27-Jan-2015:19:40:59_reload_map.fits


Raw channel data