Overview

[1] [2] [3]

Back        Forward

Overview

[1] [2] [3]

Back        Forward

Overview

[1] [2] [3]

Back        Forward

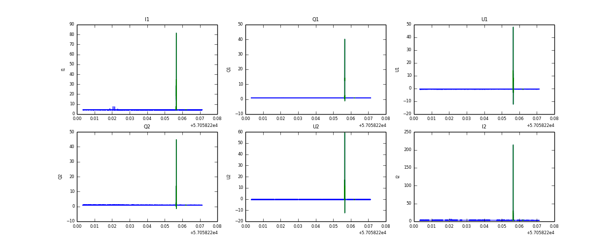
Raw fits file and map fits file

05-Feb-2015:05:18:09_reload.fits

05-Feb-2015:05:18:09_reload_map.fits


Raw channel data