Overview

[1] [2] [3]

Back        Forward

Overview

[1] [2] [3]

Back        Forward

Overview

[1] [2] [3]

Back        Forward

Raw fits file and map fits file

13-Feb-2015:20:01:01_reload.fits

13-Feb-2015:20:01:01_reload_map.fits


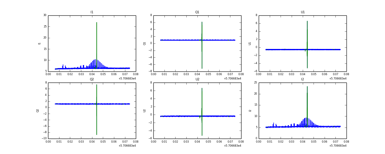
Raw channel data