Overview

[1] [2] [3]

Back        Forward

Overview

[1] [2] [3]

Back        Forward

Overview

[1] [2] [3]

Back        Forward

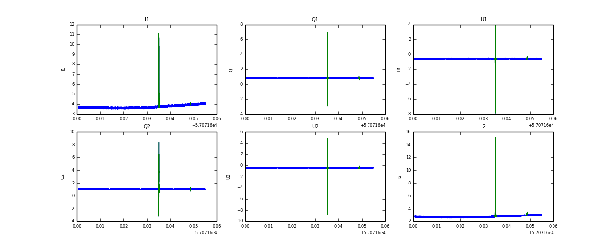
Raw fits file and map fits file

18-Feb-2015:14:21:15_reload.fits

18-Feb-2015:14:21:15_reload_map.fits


Raw channel data