Overview

[1] [2] [3]

Back        Forward

Overview

[1] [2] [3]

Back        Forward

Overview

[1] [2] [3]

Back        Forward

Raw fits file and map fits file

27-Feb-2015:20:56:42_reload.fits

27-Feb-2015:20:56:42_reload_map.fits


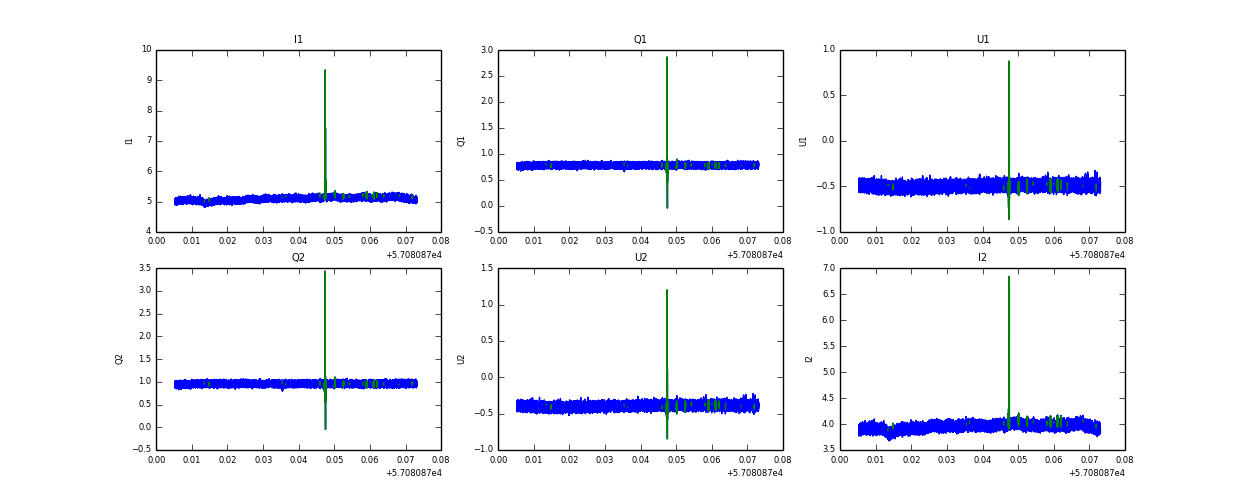
Raw channel data