Overview

[1] [2] [3]

Back        Forward

Overview

[1] [2] [3]

Back        Forward

Overview

[1] [2] [3]

Back        Forward

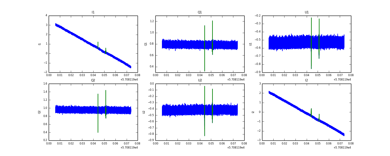
Raw fits file and map fits file

28-Feb-2015:04:38:44_reload.fits

28-Feb-2015:04:38:44_reload_map.fits


Raw channel data