Overview

[1] [2] [3]

Back        Forward

Overview

[1] [2] [3]

Back        Forward

Overview

[1] [2] [3]

Back        Forward

Raw fits file and map fits file

08-Mar-2015:13:31:31_reload.fits

08-Mar-2015:13:31:31_reload_map.fits


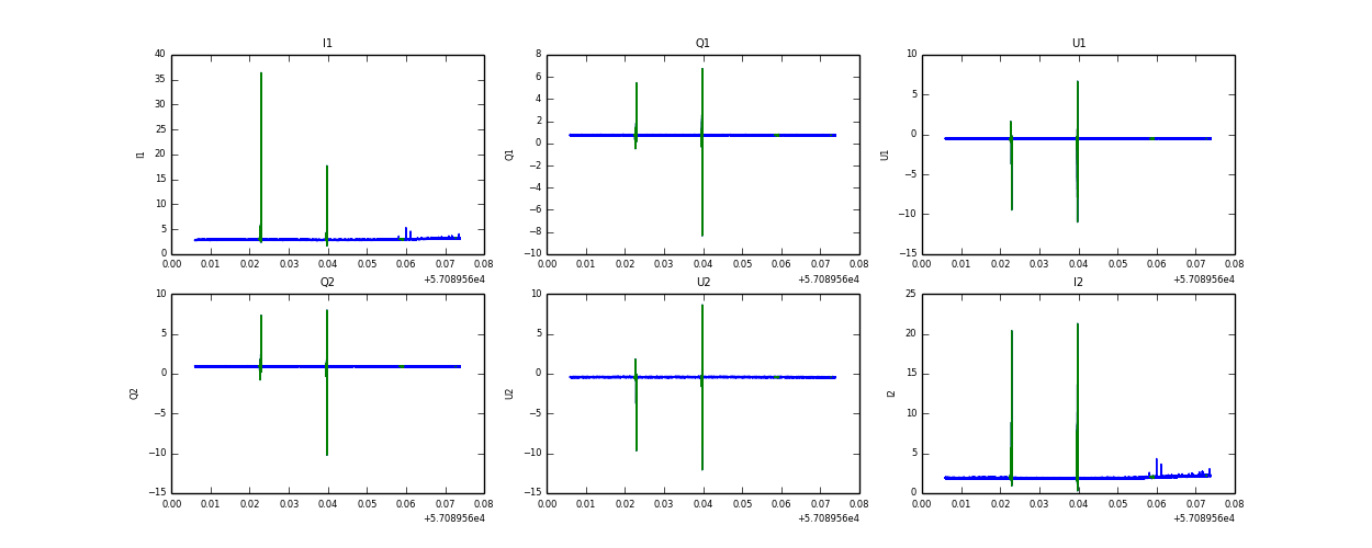
Raw channel data