Overview
[1] [2] [3]
Back Forward
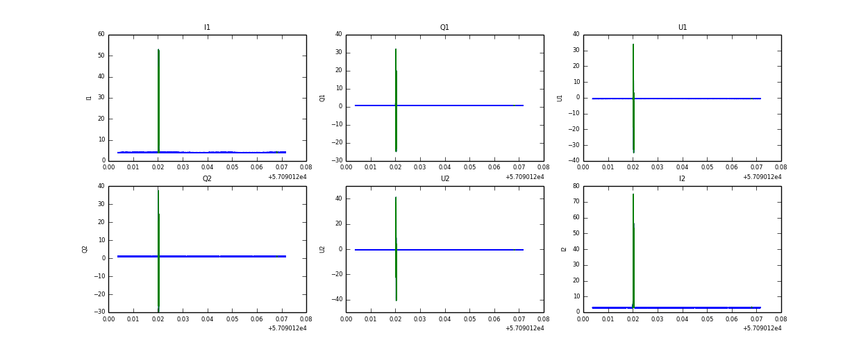
09-Mar-2015:02:54:34_reload.fits
09-Mar-2015:02:54:34_reload_map.fits